Как исследовать сходимость числового ряда онлайн?
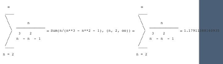
Допустим нам надо исследовать ряд ∑n/(n^3-n^2-1), где n от 2 до +∞.
Чтобы исследовать числовой ряд и его сходимость онлайн на сайте kontrolnaya-rabota.ru - нужно зайти на страницу
>>сюда<<
- нажимаем кнопку "Сумма ряда"
Получаем результат как на странице n/(n^3-n^2-1)
По данной ссылке вы увидете следующие интересные данные:
Тест сходимости ряда
Признак Даламбера ответа не даёт
Признак Коши (радикальный) - ответа не даёт
По интегральному признаку ряд сходится