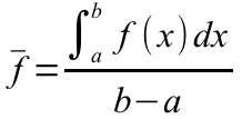
Как известно, среднее значение функции f(x), заданной на отрезке [a, b] равно:

Но это только теория, вас же интересует скорее всего практическая сторона, а именно, вам задана какая-то конкретная функция и для неё необходимо найти среднее значение.
Лучше всего рассмотреть как получить среднее значение функции с помощью примера.
Например, вам дана функция:
f(x) = x*sin(x) и надо найти её среднее значение на отрезке [0, π/2]
Для того, чтобы найти ср. значение функции f(x) онлайн, надо воспользоваться тремя двумя шагами:
1. Получить подробное решение определённого интеграла (который стоит в числителе) здесь
Ввести, x*sin(x) как на рисунке ниже:
После этого нажать на кнопку "Найти интеграл".
Тем самым вы вычислите числитель дроби, который входит в формулу для среднего значения функции.
В нашем примере это значение интеграла будет равно 1, значит числитель будет равен 1.
2. Вычисляем знаменатель. Он равен b - a = π/2 - 0 = π/2
3. Делим числитель на знаменатель и получим необходимое нам среднее значение функции:
f = 1/(π/2) = 2/π
В итоге вы получите ответ и подробное решение в придачу.
